全國咨詢熱線
1333-2626-992 咨詢海森堡繪景是量子力學的一種表述。這表述的算符(可觀察量和其它算符)相依于時間,而量子態則不相依于時間。海森堡繪景與薛定諤繪景有很明顯的差異。薛定諤繪景表述的算符是常數,而量子態則隨著時間演化。雖然有這些差異,兩種繪景只是不同于依賴時間的基底的改變。兩種繪景的測量統計結果完全相同。這是必然的。因為,它們都是在表達同樣的物理現象。
海森堡繪景是量子力學的一種表述。這表述的算符(可觀察量和其它算符)相依于時間,而量子態則不相依于時間。海森堡繪景與薛定諤繪景有很明顯的差異。薛定諤繪景表述的算符是常數,而量子態則隨著時間演化。雖然有這些差異,兩種繪景只是不同于依賴時間的基底的改變。兩種繪景的測量統計結果完全相同。這是必然的。因為,它們都是在表達同樣的物理現象。海森堡繪景是矩陣力學在一個任意基底的表述。其哈密頓量不一定是對角的。

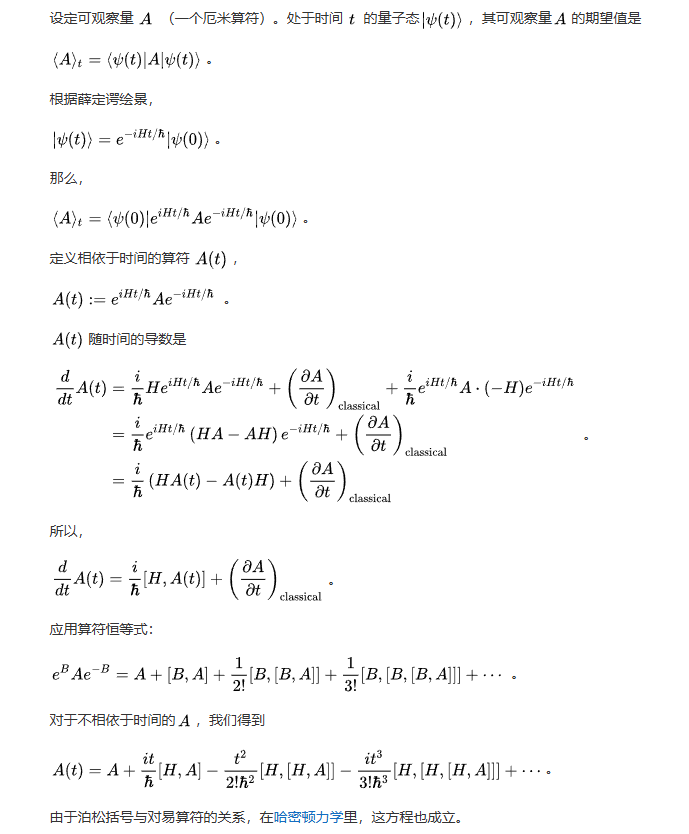
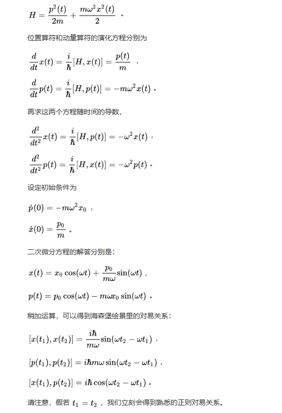
導引海森堡方程


,